General advice
- These are hints for Within the Woods by BrownPants. I wrote them using Release 2 / Serial number 260122.
- This is a game where you need to examine everything, even things that might not be obvious to examine. If you don’t happen to examine all of the stuff you need, you won’t be able to make any progress until you examine the right stuff. (There’s an “Examining Things” section whre I’ll tell you what you need to examine in what locations.)
- You even need to
SEARCHsome things, and for at least one puzzle, you’ll guess the verb.
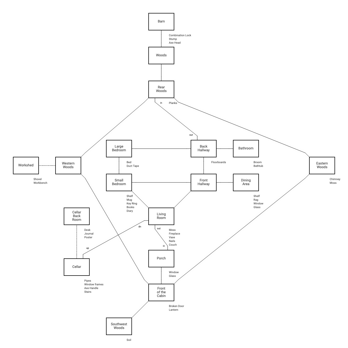
Map (mild spoilers)
This map lists all of the things you need to examine/search. Since you need to examine everything, it’s not very spoilerific. Click the blurred map to reveal it, then click it again to download it.
Part 1: Repairing the Cabin
It’s dark! How do I get around?
-
EXAMINE THE DOORin the starting room, “Front of the Cabin”. -
GET THE LANTERN. TURN IT ON.Now you can travel to other rooms.
What do I need to do?
-
First, make sure you’ve examined everything in every room. (See the “Examining Things” section below.)
-
EXAMINE THE NOTEBOOK. -
If it says “Check around for damage”, you haven’t examined everything.
-
If you’ve examined everything, it will tell you to deal with the glass on the porch, the bedroom (the Small Bedroom), and the dining room, to repair windows in the living room, small bedroom, and dining room, to clean up the mess in the living room, to fix the bathtub pipe, and to repair and hang the cabin door. (See hints below for each of those tasks.)
-
When you’ve completed all of the repairs, it’s time to head home. Return to the Front of the Cabin.
-
Return to the Living Room to begin Part 2. (See “Part 2” below.)
Examining Things
This is a game where you need to examine everything, even things that might not be obvious to examine. If you don’t happen to examine all of the stuff you need, you won’t be able to make any progress until you examine the right stuff.
So, here’s a list of all the stuff you need to examine, without yet needing to solve any puzzles.
Front of the Cabin
-
door → lantern
Porch
-
window
-
glass
Living Room
-
mess
-
fireplace
-
vase → nails
-
clock
-
mirror
-
window
-
trapdoor
Cellar
-
window → axe handle
-
pipes
-
stairs
Dining Area
-
shelf → rag
-
window
-
glass
Small Bedroom
-
shelf
-
mug → key ring
-
books → diary
-
window
-
glass
-
curtain
Bathroom
-
broom
-
bathtub
Back Hallway
-
floorboards
Rear Woods
-
planks
Barn
-
stump → axe head
Eastern Woods
-
chimney
-
moss
Southwest Woods
-
soil
You’ll even need to SEARCH some things.
Large Bedroom
-
search bed → duct tape
Living Room
-
search couch → etching
Completing notebook tasks
How do I take care of the glass?
-
First, make sure you’ve examined everything in every room. (See the section above.)
-
You have a broom.
-
CLEAN THE GLASS WITH THE BROOM.
How do I clean up the mess in the living room?
-
First, make sure you’ve examined everything in every room. (See the section above.)
-
You have a broom.
-
CLEAN THE MESS WITH THE BROOM.
How do I repair the broken pipe?
-
First, make sure you’ve examined everything in every room. (See the section above.)
-
You’ll also need to
searchsome stuff, see above. -
You should have the lantern, nails, rag, axe head, axe handle, key ring, diary, broom, and duct tape.
-
Once you have the rag and the duct tape, you can
REPAIR THE PIPE WITH THE DUCT TAPE.
How do I repair the windows?
-
You can’t repair any windows until you’ve repaired the broken pipe. See above.
-
First, make sure you’ve examined everything in every room. (See the section above.)
-
You should have the lantern, nails, axe head, axe handle, key ring, diary, broom, and, once you’ve fixed the pipe, you should have the hammer (in the Cellar).
-
With a hammer and nails, you nearly have a complete set of repair tools. You just need wood.
-
There are wooden planks in Rear Woods.
-
The wooden planks are too long.
-
You need to shorten them.
-
CHOP PLANKS WITH AXE HEAD. -
REPAIR AXE HEAD WITH HANDLE. CHOP WOOD WITH AXE. -
There’s a suitable place for chopping wood outdoors.
-
It’s at the Barn.
-
PUT THE PLANKS ON THE STUMP. CHOP WOOD WITH AXE. GET THE WOOD. -
Now you have a complete set of repair tools; you can go to any broken window and
REPAIR THE BROKEN WINDOW WITH THE HAMMER.
How do I repair the door?
-
First, figure out how to repair a window, and make sure you’ve examined everything in every room. (See above.)
-
You should have the lantern, a “complete set of repair tools” (hammer, nails, cut wood), axe, key ring, diary, and broom.
-
If you have a “complete set of repair tools” (hammer, nails, cut wood), try
REPAIR THE DOOR WITH THE HAMMER. -
A suitable place to set the door is behind a locked door.
-
You’ve found three locked doors so far.
-
You’ve found the cellar door, the workshed door, and the barn door.
-
You’ll fix the door in the workshed.
-
In Western Woods,
UNLOCK THE DOOR WITH THE KEY. -
PUT THE DOOR ON THE WORKBENCH. REPAIR THE BROKEN DOOR WITH THE HAMMER. GET DOOR. -
Return to the Porch and
HANG THE DOOR ON THE HINGES.
How do I repair the shovel?
-
First, figure out how to repair a window. (See above.)
-
Once you have a “complete set of repair tools” (hammer, nails, cut wood) you can
REPAIR THE SHOVEL WITH THE HAMMER.
Part 2: Defeating the Demon
How do I get away from the demon?
-
The easiest way is to shoot it with the shotgun you found in the living room. (See “How do I operate the shotgun?” below.)
-
There’s another way, if you got everything from the Workshop.
-
Did you examine the workbench?
-
Get the padlock and chain from the workshop. You can use them to lock up the demon for a while.
-
Have you seen something you could lock?
-
When the demon is with you in the living room, you can
GO DOWNto the Cellar and the demon will follow you. -
If you then
GO UPback to the Living Room, the demon will pause before following you. -
CLOSE THE TRAPDOOR. LOCK THE TRAPDOOR WITH THE PADLOCK.But, you will eventually need to go back into the Cellar to defeat the demon. -
You already have the key to the padlock.
-
UNLOCK THE PADLOCK WITH THE KEY RING.
How do I operate the shotgun?
-
The shotgun takes four turns to load, and there are a limited number of shells. If you try to load it in front of the demon, the demon will kill you before you can finish. (You may find it easier to undo/restore back to before you finished your chores, to prepare to face the demon.)
-
To start,
OPEN THE SHOTGUN. -
If it contains an empty shell,
GET THE EMPTY SHELL. -
LOAD THE SHOTGUN WITH A SHELL. CLOSE THE SHOTGUN. -
Then, when facing the demon,
SHOOT THE DEMON WITH THE SHOTGUN.(Then reload!)
How do I defeat the demon?
-
Start by shooting the demon with the shotgun you found in the living room. (See “How do I operate the shotgun?” above.)
-
When you shoot the demon, it drops an old key.
-
In the Cellar,
UNLOCK THE DOOR WITH THE OLD KEY. -
In the Cellar Back Room,
EXAMINE THE DESK. EXAMINE THE JOURNAL. -
To defeat the demon, you have to find the “Words of Sleep”, the reliquary, the bone, and the dagger. You’ll need to taint the dagger, and perform the ritual. See below.
Where are the “Words of Sleep”?
-
You’ll have to
SEARCHsomething to find it. -
It’s downstairs.
-
It’s in the Cellar Back Room.
-
SEARCH THE POSTER. EXAMINE THE ALCOVE. EXAMINE THE PAGE.
Where’s the bone for the ritual?
-
It’s in the Barn. You’ll have to guess the combination. (Type
INPUT ####to guess the combination.) -
Clues for the combination are in the diary and the journal.
-
It’s a date.
-
INPUT 1021. OPEN THE TRUNK. EXAMINE THE BONES. GET THE BONE.
Where’s the reliquary?
-
READ THE DIARY.Make sure you’ve examined everything. (See “Examining Things” above.) -
It’s under the floorboards in the Back Hallway.
-
PRY THE FLOORBOARD WITH THE HAMMER. GET THE BOX.
How do I open the reliquary?
-
First, find the bone for the ritual. (See above.)
-
Make sure you’ve examined everything. (See “Examining Things” above.)
-
You’ll need to deduce the combination, then push on the sigils to open it.
-
There are four etchings in the game. If you’ve examined everything, you’ve found the etching on the Cellar stairs and under the Living Room couch, and the etching in the trunk in the Barn. Something you examined hasn’t been of use yet.
-
SEARCH THE MOSSin the Eastern Woods. -
SCRAPE THE MOSS WITH THE HAMMER. -
The etchings contain numbers that convey the combination.
-
The couch etching contains a tree with three branches.
-
The stairs etching contains a moon with four craters.
-
The trunk etching contains one eye.
-
The moss etching contains a skull with two eyes.
-
PUSH THE FIRST SIGILuntil it shows a “bleeding eyeball.” -
PUSH THE SECOND SIGILuntil it shows a “demonic skull.” (It starts off like that.) -
PUSH THE THIRD SIGILuntil it shows a “gnarled tree.” -
PUSH THE FOURTH SIGILuntil it shows a “full moon.”
Where is the dagger?
-
It’s in the reliquary. See above.
How do I taint the dagger?
-
Make sure you’ve examined everything. (See “Examining Things” above.)
-
You’ll need to find remains.
-
The remains are in the soil in the Southwest Woods.
-
DIG IN THE SOIL.You’ll need something to dig with. -
DIG IN THE SOIL WITH THE SHOVEL. -
You’ll need to repair the shovel.
-
REPAIR THE SHOVEL WITH THE HAMMER. DIG IN THE SOIL WITH THE SHOVEL. EXAMINE THE GRAVE. EXAMINE THE SHEET. -
The next step requires guessing the verb.
-
SMEAR THE DAGGER WITH THE SHEET.
Where were the awakening words spoken?
-
READ THE DIARYfrom the Small Bedroom. -
Note the 10/17 entry.
-
“I could hear Raymond in his study below speaking his translations aloud”
-
They were spoken in the Cellar Back Room.
How do I perform the ritual?
-
READ THE JOURNALcarefully. -
You’ll need to find the reliquary, the “Words of Sleep”, the bone, and the dagger. You’ll also need to taint the dagger, and figure out where the awakening words were spoken. See above. (Don’t reveal the next clue until you have all of these tasks finished.)
-
You know where the awakening words were spoken, so dig a hole there.
-
DIG A HOLE WITH THE SHOVELin the Cellar Back Room. -
PUT THE BOX IN THE HOLE. SAY KANDA VESH THUL KANDA NU TAL SABOTH TANTIR KANDA. -
If nothing seems to happen: you might not have put the bone and the dagger in the box, or the dagger might not be tainted. (When you examine the dagger, it should say “The blade is tainted with the ectoplasmic remains of a demon.”) But, more likely, you didn’t perform the ritual at the correct time.
-
READ THE DIARY. -
Note what it said about the clock.
-
“The clock in the living room began to chime ceaselessly, despite it being still three minutes til the hour…” “A deep unease grows in my stomach whenever I move the hour and minute hands…”
-
EXAMINE THE CLOCK.You canPUSH HOUR HAND TO #andPUSH MINUTE HAND TO #. -
EXAMINE THE MIRROR. -
The mirror is showing a different time from the clock.
-
PUSH THE MINUTE HAND TO 57. PUSH THE HOUR HAND TO 6. -
Now, when you
PUT THE BOX IN THE HOLE. SAY KANDA VESH THUL KANDA NU TAL SABOTH TANTIR KANDA, the game should end in victory. (If it doesn’t, you need to make sure the clock is set to 6:57, the bone and the tainted dagger are in the box, and the box is closed and in the hole.)
Have you tried…
- … sitting on the swing on the Porch?
- … opening the closet in the Small Bedroom?
- … wearing the brown pants?
- … locking the demon in the Cellar? (See “How do I get away from the demon?” above.)
